Miaj preferataj nombroj
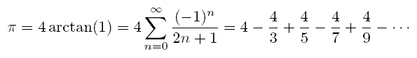
Ĉi tie mi prezentas al vi la unuajn mil ciferojn de miaj du plej ŝatataj neracionalaj nombroj. La unua estas la fame konata pi. Ĝi estas la kvociento de la cirkonferenco per la diametro de cirklo. Jen estas tre simpla formulo, kiu esprimas pi-on kiel sumon de racionalaj nombroj.

3.141592653589793238462643383279502884197169399375105820974944592307816406286
20899862803482534211706798214808651328230664709384460955058223172535940812848
11174502841027019385211055596446229489549303819644288109756659334461284756482
33786783165271201909145648566923460348610454326648213393607260249141273724587
00660631558817488152092096282925409171536436789259036001133053054882046652138
41469519415116094330572703657595919530921861173819326117931051185480744623799
62749567351885752724891227938183011949129833673362440656643086021394946395224
73719070217986094370277053921717629317675238467481846766940513200056812714526
35608277857713427577896091736371787214684409012249534301465495853710507922796
89258923542019956112129021960864034418159813629774771309960518707211349999998
37297804995105973173281609631859502445945534690830264252230825334468503526193
11881710100031378387528865875332083814206171776691473035982534904287554687311
59562863882353787593751957781857780532171226806613001927876611195909216420199
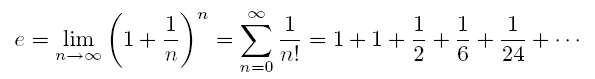
La dua estas ne tiel fame konata, sed certe grava en matematiko. Ĝi nomiĝas e, honore al ĝia malkovrinto, Euler. Se oni metus unu eŭron en sian bankokonton, kaj konstante ricevus interezon je 100% jare, oni post unu jaro havus e eŭrojn. Jen estas tre simpla formulo, kiu esprimas e-on kiel sumon de racionalaj nombroj.

2.718281828459045235360287471352662497757247093699959574966967627724076630353
54759457138217852516642742746639193200305992181741359662904357290033429526059
56307381323286279434907632338298807531952510190115738341879307021540891499348
84167509244761460668082264800168477411853742345442437107539077744992069551702
76183860626133138458300075204493382656029760673711320070932870912744374704723
06969772093101416928368190255151086574637721112523897844250569536967707854499
69967946864454905987931636889230098793127736178215424999229576351482208269895
19366803318252886939849646510582093923982948879332036250944311730123819706841
61403970198376793206832823764648042953118023287825098194558153017567173613320
69811250996181881593041690351598888519345807273866738589422879228499892086805
82574927961048419844436346324496848756023362482704197862320900216099023530436
99418491463140934317381436405462531520961836908887070167683964243781405927145
63549061303107208510383750510115747704171898610687396965521267154688957035035